首页 > 独特技术

纳米粒度及电位分析仪相关技术

2024-12-17

动态光散射技术

动态光散射技术DLS,又称作光子相关光谱PCS或者准弹性光散射。该技术检测由于颗粒布朗运动而产生的散射光的波动随时间的变化。其中小颗粒造成的散射光信号波动较快,大颗粒造成的散射光信号波动较慢。APD检测器将散射光信号转化为电信号,再通过数字相关器的运算处理,得到颗粒在溶液中扩散的速度信息,即扩散系数D。通过Stokes-Einstein方程可以得到颗粒、大分子的尺寸,即流体力学直径DH及其分布。

 




BeNano智能寻找最佳检测点位置的背向动态散射技术

 

 

通过透镜的移动可以实现将检测点在样品池中央到边缘任意位置的移动设置。可以最大程度上兼顾不同种类、不同浓度样品的检测需求。在实际检测过程中,根据样品浓度、大小、散射能力,对于每个特定样品确认其最佳检测位置和激光的强度,以达到最佳的测试条件和最高的测试准确性。

 

作用:

● 高浓度样品粒径测试

 



毛细管粒径池

微量样品检测的需求一直存在,尤其是对于样品极为珍贵的生物制药领域,目前的低容量样品池具有加样容易产生气泡,清洗困难,成本较高等等问题。BeNano-系列纳米粒度电位仪开创性的使用了一种新颖的毛细管检测技术,具有样品量更低(仅需3-5μL)样品,加样方便,清洗便捷,成本低廉,能有效防止大颗粒沉降等特点,为具有极微量样品测试需求的用户提供了现实可行的解决方案。

 

作用:

● 极微量样品测试

● 大颗粒样品测试

 



电泳光散射技术

分散在液体中的颗粒往往在表面携带一定量电荷,这些电荷会使颗粒在溶液中形成一个超过颗粒表面界限的双电层。颗粒的电势在颗粒的表面最大,称作表面电位(surface potential),在严密电位层的电位称作严密层电位(Stern potential),在颗粒的滑移层的位置的电势值称作Zeta电位。颗粒的Zeta电位与颗粒之间的相互作用力息息相关,较高的Zeta电位有利于防止颗粒团聚,维持体系的稳定性。

电泳光散射ELS技术是一种光学的测试技术,通过检测颗粒电泳运动产生的散射光的多普勒频移,进而分析原始的光学信号得到颗粒的电泳速度信息,由亨利方程建立起的颗粒电泳速度和Zeta电位的关系最终得到颗粒在当前体系中Zeta电位

和Zeta电位分布信息。

 

 

 



相位分析光散射

传统的电泳光散射技术ELS是通过相关器处理得到的样品拍频信号,进而计算散射光的频率差Δf ,丹东百特仪器公司在传统电泳光散射技术的基础上,开发出了全新的用于检测颗粒Zeta电位的相位分析光散射技术PALS,可以通过一个测试同时得到Zeta电位的平均值和分布值信息。

BeNano相位分析光散射技术,是通过解析原始信号的相位Φ信息从而得到散射光的频率信息,相位随时间的变化dΦ/dt正比于频率变化Δf。相位分析光散射技术可以极大程度的降低颗粒的布朗运动等等因素对于测试结果的影响,从而得到更高的统计学精度。从应用角度而言通过PALS技术可以有效检测等电点附近,高盐浓度下极慢电泳速度的颗粒的Zeta电位信息。


         

         作用:

         ●低电泳迁移率样品测试

         ●高盐浓度样品Zeta电位测试

         ●电中点附近样品Zeta电位测试

 



可抛弃毛细管电极和插入式电极

BeNano采用毛细管电极和插入电极进行Zeta电位测试,其中:

●毛细管电极的电极距离 5cm,避免对样品加热,电场更均匀,可避免交叉污染,适合高极性体系。样品池仅4mm厚度,最高可检测 40%浓度样品,可抛弃,节约使用成本。

●插入式电极适合有机相样品使用

 



分子量的测量

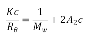
静态光散射技术SLS,检测颗粒、大分子物质的平均散射光强,通过瑞利散射方程将散射光强与大分子物质的绝对分子质量和第二维利系数A2等信息联系起来。

 

其中c为样品的浓度,θ为测量的角度(散射角),Rθ 为θ角方向的瑞利散射比,Mw 为重均分子量,A2 为第二维利系数,K为与(dn/dc)2相关的常数。

 

使用BeNano进行测试,在检测过程中,配制一系列不同浓度的溶液,分别检测其散射光强,并转化为不同散射光强下的瑞利比,通过以Kc/Rθ对浓度外推的Debye曲线,得到分子量和代表分子间相互作用的A2信息。

 

座机:022-58126917
手机:13114977982

座机:022-58126917<br>  手机:13114977982

James@tj-gearing.com

James@tj-gearing.com